Leetcode算法之链表
2. 两数相加
给出两个 非空 的链表用来表示两个非负的整数。其中,它们各自的位数是按照 逆序 的方式存储的,并且它们的每个节点只能存储 一位 数字。
如果,我们将这两个数相加起来,则会返回一个新的链表来表示它们的和。
您可以假设除了数字 0 之外,这两个数都不会以 0 开头
输入:(2 -> 4 -> 3) + (5 -> 6 -> 4)
输出:7 -> 0 -> 8
原因:342 + 465 = 807
思路:
- 对于链表长度不一致的情况,补0
- 只有当俩个链表均为null并且没有近位的情况下退出
1
2
3
4
5
6
7
8
9
10
11
12
13
14
15
16
17
18
19
20
21
22
23
24
25class Solution {
public:
ListNode* addTwoNumbers(ListNode* l1, ListNode* l2) {
ListNode* head = new ListNode(0);
ListNode* res= head;
int flag = 0;
int sum = 0;
while(l1 || l2 || flag)
{
int t1 = l1 == NULL ? 0 : l1->val;
int t2 = l2 == NULL ? 0 : l2->val;
sum = t1+t2+flag;
flag = sum/10;
sum = sum % 10;
head->next = new ListNode(sum);
head = head->next;
l1 = l1 ? l1->next : l1;
l2 = l2 ? l2->next : l2;
}
return res->next;
}
};
19. 删除链表的倒数第N个节点
给定一个链表,删除链表的倒数第 n 个节点,并且返回链表的头结点
给定一个链表: 1->2->3->4->5, 和 n = 2.
当删除了倒数第二个节点后,链表变为 1->2->3->5.
思路:
- 使用快慢指针,快指针先走N个节点,然后快慢指针一起走,知道快指针为NULL,此时慢指针即为倒数第N个节点
- 由于要删除倒数第N个节点,需要保存其前节点,因此在遍历过程中,每次保存当前节点的前驱节点;或者让慢节点走到倒数第N+1个节点时,直接操作即可
- 注意如果倒是第N个节点时头节点时,删除的方式需要注意,可以根据快节点走完N个节点的情况来判断
1
2
3
4
5
6
7
8
9
10
11
12
13
14
15
16
17
18
19
20
21class Solution {
public:
ListNode* removeNthFromEnd(ListNode* head, int n) {
ListNode* quick = head;
ListNode* low = head;
for(int i = 0; i < n; ++i)
quick = quick->next;
if(!quick)
{
head = head->next;
return head;
}
while(quick->next)
{
quick = quick->next;
low = low->next;
}
low->next = low->next->next;
return head;
}
};
21. 合并两个有序链表
将两个升序链表合并为一个新的 升序 链表并返回。新链表是通过拼接给定的两个链表的所有节点组成的
输入:1->2->4, 1->3->4
输出:1->1->2->3->4->4
1 | |
23. 合并K个升序链表
给你一个链表数组,每个链表都已经按升序排列。
请你将所有链表合并到一个升序链表中,返回合并后的链表
1 | |
1 | |
141. 环形链表
给定一个链表,判断链表中是否有环。
如果链表中有某个节点,可以通过连续跟踪 next 指针再次到达,则链表中存在环。 为了表示给定链表中的环,我们使用整数 pos 来表示链表尾连接到链表中的位置(索引从 0 开始)。 如果 pos 是 -1,则在该链表中没有环。注意:pos 不作为参数进行传递,仅仅是为了标识链表的实际情况。
如果链表中存在环,则返回 true 。 否则,返回 false
进阶:
你能用 O(1)(即,常量)内存解决此问题吗?
输入:head = [3,2,0,-4], pos = 1
输出:true
解释:链表中有一个环,其尾部连接到第二个节点。
思路:
- 利用快慢指针,快指针每次走俩个节点,慢指针每次走一个节点
- 如果存在环,那么快慢指针最终会相遇
- 如果不存在,则快慢指针最后至少有一个先走到null节点
- 对于只有单个节点和俩个节点的链表,可以直接判断
1 | |
142. 环形链表 II
给定一个链表,返回链表开始入环的第一个节点。 如果链表无环,则返回 null。
为了表示给定链表中的环,我们使用整数 pos 来表示链表尾连接到链表中的位置(索引从 0 开始)。 如果 pos 是 -1,则在该链表中没有环。
说明:不允许修改给定的链表
输入:head = [3,2,0,-4], pos = 1
输出:tail connects to node index 1
解释:链表中有一个环,其尾部连接到第二个节点。

1 | |
148. 排序链表
在 O(n log n) 时间复杂度和常数级空间复杂度下,对链表进行排序
输入: 4->2->1->3
输出: 1->2->3->4
思路:
- 归并的思想,先分割链表,局部排序,排序完后再合并排序
1
2
3
4
5
6
7
8
9
10
11
12
13
14
15
16
17
18
19
20
21
22
23
24
25
26
27
28
29
30
31
32
33
34
35
36
37
38
39
40
41
42
43
44
45
46
47
48
49
50
51
52
53
54
55
56
57
58
59
60
61
62
63
64
65
66
67
68
69class Solution {
public:
ListNode* merge(ListNode* l1, ListNode* l2)
{
ListNode* dummy= new ListNode(0);
ListNode* head = dummy;
while(l1 && l2)
{
if(l1->val < l2->val)
{
dummy->next = l1;
l1 = l1->next;
}
else
{
dummy->next = l2;
l2 = l2->next;
}
dummy = dummy->next;
}
dummy->next = l1 ? l1 : l2;
return head->next;
}
ListNode* cut(ListNode* l1, int len)
{
ListNode* p = l1;
while(--len && p)
{
p = p->next;
}
if(!p)
{
return NULL;
}
ListNode* next = p->next;
p->next = NULL;
return next;
}
ListNode* sortList(ListNode* head) {
ListNode* dummy = new ListNode(0);
dummy->next = head;
int len = 0;
ListNode* p = head;
while(p != NULL)
{
p = p->next;
len++;
}
for(int i = 1; i < len; i <<= 1)
{
ListNode* cur = dummy->next;
ListNode* tail = dummy;
while(cur)
{
ListNode* left = cur;
ListNode* right = cut(left, i);
cur = cut(right, i);
tail->next = merge(left, right);
while(tail->next)
tail = tail->next;
}
}
return dummy->next;
}
};
25. K 个一组翻转链表
给你一个链表,每 k 个节点一组进行翻转,请你返回翻转后的链表。
k 是一个正整数,它的值小于或等于链表的长度。
如果节点总数不是 k 的整数倍,那么请将最后剩余的节点保持原有顺序。
示例:
给你这个链表:1->2->3->4->5
当 k = 2 时,应当返回: 2->1->4->3->5
当 k = 3 时,应当返回: 3->2->1->4->5
说明:
你的算法只能使用常数的额外空间。
你不能只是单纯的改变节点内部的值,而是需要实际进行节点交换。
思路:
递归实现
- 按k个元素分割链表,局部反转后连上;
- 确定每次需要翻转的k个元素,递归翻转,对应链表尾端均为NULL;
- 如果不足k个元素,则不反转,直接返回。
1
2
3
4
5
6
7
8
9
10
11
12
13
14
15
16
17
18
19
20
21
22
23
24
25
26
27
28
29
30class Solution {
public:
ListNode* reverse(ListNode* head, int k)
{
ListNode* pre = NULL;
while(head && k)
{
ListNode* cur = head->next;
head->next = pre;
pre = head;
head = cur;
k--;
}
return pre;
}
ListNode* reverseKGroup(ListNode* head, int k) {
if(head == NULL || k == 1)
return head;
ListNode* tail = head;
for(int i = 1; i < k && tail != NULL; ++i)
tail = tail->next;
if(tail == NULL)
return head;
ListNode *next = tail->next;
reverse(head,k);
head->next = reverseKGroup(next, k);
return tail;
}
};
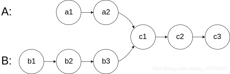
160. 相交链表
编写一个程序,找到两个单链表相交的起始节点。
如下面的两个链表
在节点 c1 开始相交
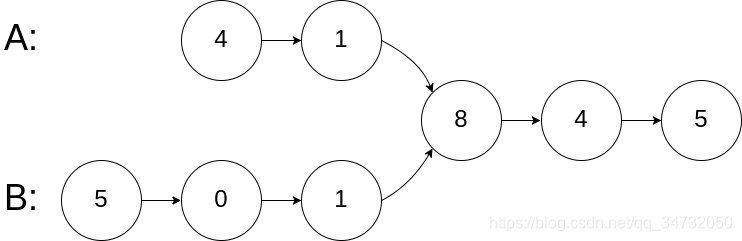
输入:intersectVal = 8, listA = [4,1,8,4,5], listB = [5,0,1,8,4,5], skipA = 2, skipB = 3
输出:Reference of the node with value = 8
输入解释:相交节点的值为 8 (注意,如果两个链表相交则不能为 0)。从各自的表头开始算起,链表 A 为 [4,1,8,4,5],链表 B 为 [5,0,1,8,4,5]。在 A 中,相交节点前有 2 个节点;在 B 中,相交节点前有 3 个节点
1 | |
206. 反转链表
反转一个单链表
输入: 1->2->3->4->5->NULL
输出: 5->4->3->2->1->NULL
1 | |
234. 回文链表
请判断一个链表是否为回文链表
输入: 1->2
输出: false
输入: 1->2->2->1
输出: true
进阶:
你能否用 O(n) 时间复杂度和 O(1) 空间复杂度解决此题
思路:
- 找到链表中点
- 翻转后半部分链表,然后依次遍历俩部分链表即可
- 恢复原链表
1
2
3
4
5
6
7
8
9
10
11
12
13
14
15
16
17
18
19
20
21
22
23
24
25
26
27
28
29
30
31
32
33
34
35
36
37
38
39
40
41
42
43
44
45
46class Solution {
public:
bool isPalindrome(ListNode* head) {
ListNode* fast = head;
ListNode* slow = head;
while(fast && fast->next)
{
slow = slow->next;
fast = fast->next->next;
}
ListNode* pre = NULL;
while(slow)
{
ListNode* next = slow->next;
slow->next = pre;
pre = slow;
slow = next;
}
ListNode * cur = head;
ListNode* pt = pre;
while(cur && pt)
{
if(cur->val != pt->val)
return false;
cur = cur->next;
pt = pt->next;
}
while(cur)
cur = cur->next;
while(pre)
{
ListNode* next = pre->next;
pre->next = cur;
cur = pre;
pre = next;
}
// while(head)
// {
// std::cout << head->val << std::endl;
// head = head->next;
// }
return true;
}
};